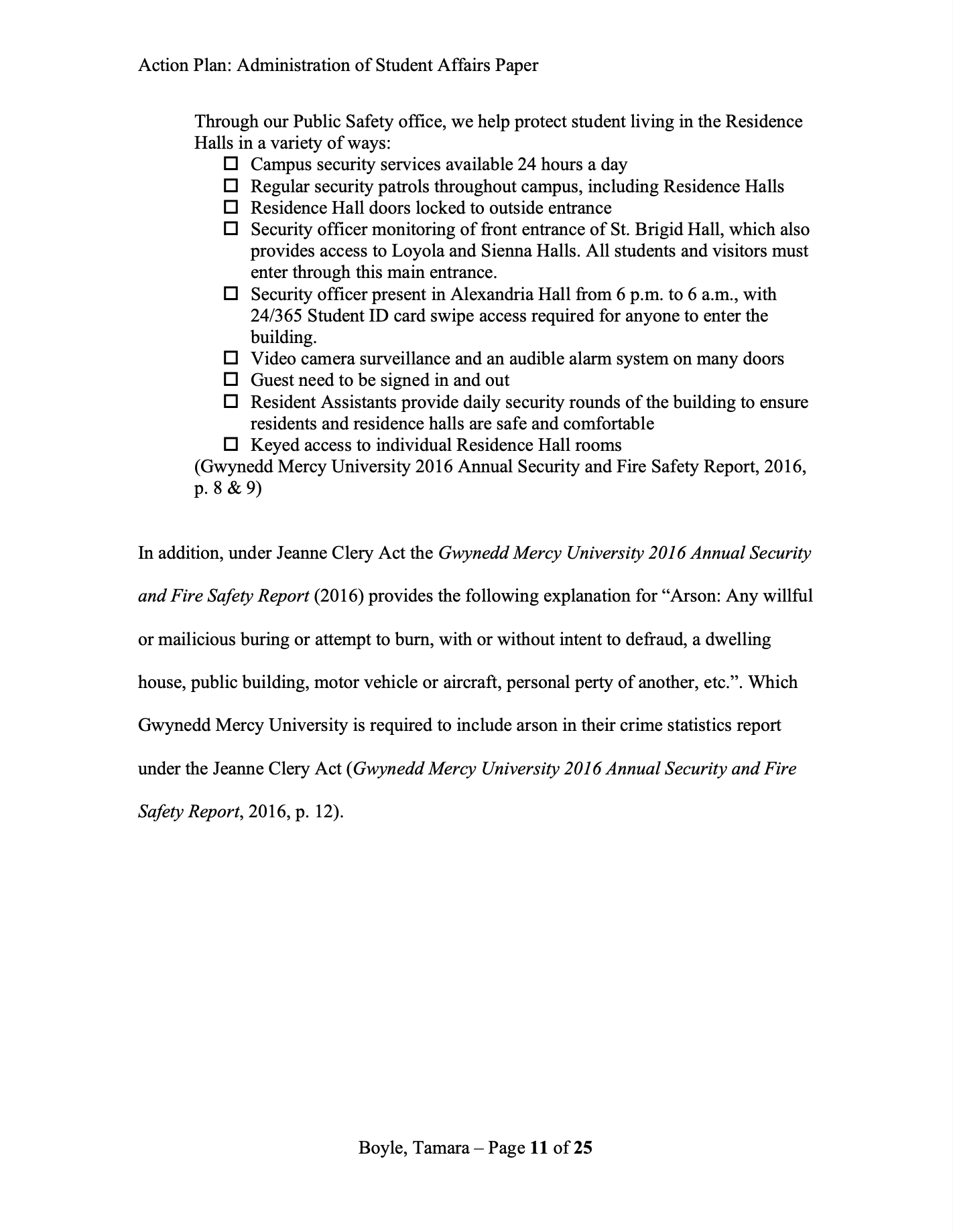
Boyle, T.B. (2017) Fire Safety Procedures Action Plan Administration of Student Affairs Paper

This paper discusses Academic & Administrative Policy; Legal Issues; Ways the Academic and Administrative Policy Issues Interrelated with Legal Issues; Concerns About the Law’s Potential Effect on the Institutions Ability to Deal Effectively with Fire Safety Procedures Specifically Safety and Security of Students, Faculty, Staff, & Emergencies Responders; Additional Concerns; Consulting Legal Counsel; Public Versus Private; Good Practices; and The Steps the university Should Take.